以下內容將詳細闡述耗盡區寬度的相關知識,旨在為您提供一個全面且專業的視角。
內建電場與耗盡區寬度的關系
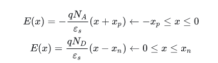
通過對耗盡區電場進行積分,能夠得到內建電勢 Vbi。






對于單邊突變結,當 PN 結一側的摻雜濃度遠高于另一側時(例如 P+N 結),


耗盡層主要集中在低摻雜的一側。此時,內建電場的峰值主要取決于低摻雜一側的雜質濃度。這種情況下,高摻雜一側的耗盡層寬度相對較小,而低摻雜一側的耗盡層寬度則較大。


耗盡層主要集中在低摻雜的一側。此時,內建電場的峰值主要取決于低摻雜一側的雜質濃度。這種情況下,高摻雜一側的耗盡層寬度相對較小,而低摻雜一側的耗盡層寬度則較大。
耗盡區寬度與摻雜濃度的關系
耗盡區寬度與摻雜濃度之間存在密切關系,具體表現為:高摻雜濃度導致耗盡區寬度變窄,而低摻雜濃度則導致耗盡區寬度變寬。這一現象的原理主要涉及半導體物理中的擴散和漂移現象,以及它們如何影響耗盡區的形成。
擴散與漂移現象
在半導體中,摻雜是一種通過引入雜質原子來改變材料導電性質的技術。這些雜質原子可以提供額外的電荷載體(電子或空穴),從而影響材料的導電性。
擴散是指電荷載體(電子或空穴)從高濃度區域向低濃度區域的運動。在 PN 結中,擴散作用是耗盡區形成的主要原因。當 PN 結形成時,p 區的空穴和 n 區的電子會分別向對方區域擴散,導致 PN 結界面處的電荷分離,形成耗盡區。
漂移則是指電荷載體在電場作用下的定向運動。在耗盡區內,由于存在內建電場,少數載流子(電子或空穴)會受到電場的作用而發生漂移運動。這種漂移運動與擴散運動共同維持著 PN 結的平衡狀態。
耗盡區寬度的變化機制
當摻雜濃度較高時,單位長度區域內的載流子數量更多,離子數量也更多。這意味著在較少的單位長度內就能建立起一定強度的內電場,使得 PN 結更快地進入動態平衡階段(即寬度不再發生變化)。因此,高摻雜濃度導致耗盡區寬度變窄。
相反,當摻雜濃度較低時,單位長度區域內的載流子數量更少,離子數量也更少。為了建立起相同的內電場,需要更多的單位長度,使得 PN 結進入動態平衡階段的時間延長。因此,低摻雜濃度導致耗盡區寬度變寬。
通過對耗盡區寬度及其與摻雜濃度關系的深入理解,能夠更好地掌握半導體器件的工作原理和特性,為半導體技術的發展和應用提供堅實的理論基礎。
〈烜芯微/XXW〉專業制造二極管,三極管,MOS管,橋堆等,20年,工廠直銷省20%,上萬家電路電器生產企業選用,專業的工程師幫您穩定好每一批產品,如果您有遇到什么需要幫助解決的,可以直接聯系下方的聯系號碼或加QQ/微信,由我們的銷售經理給您精準的報價以及產品介紹
〈烜芯微/XXW〉專業制造二極管,三極管,MOS管,橋堆等,20年,工廠直銷省20%,上萬家電路電器生產企業選用,專業的工程師幫您穩定好每一批產品,如果您有遇到什么需要幫助解決的,可以直接聯系下方的聯系號碼或加QQ/微信,由我們的銷售經理給您精準的報價以及產品介紹
聯系號碼:18923864027(同微信)
QQ:709211280

