隨著漏源電壓不斷增大,當達到夾斷電壓時,溝道厚度在漏極處減薄為零,溝道在漏極處消失,該處只剩下耗盡層,這是所謂的夾斷;漏源電壓繼續增大,溝道的夾斷點向源極方向運動,那么在溝道和漏極之間就會隔著一段耗盡區,當溝道中的電子到達溝道端頭的耗盡區邊界時,會立即被耗盡區內的強電場掃入漏區,所以會有電流的存在。由于電子在耗盡區內的飄移速度已達到飽和速度,不再隨著電場的增大而增大,所以漏極電流達到飽和。

當漏一源之間接上+ VDS時,從源一溝道一漏組成的N型半導體區域內產生了一個橫向的電位梯度:源區為零電位,漏區為+ VIB,而溝道的電位則從源端向漏端逐漸升高。在溝道的不同位置上,溝道厚度不同,源湍最厚,漏端最薄,逐漸升高。
在溝道的不同位置上,溝道厚度不同,源端最厚,漏端最薄,當VDS增大到柵一漏電位差VGS= VLS= VGS(rh)時,漏端預夾斷。這個夾斷區成了漏一源間電流通路上電阻最大的區。V璐的任何一點增加都必然會集中降在這里,使預夾斷區具有很強的電場。
由于現在被夾的只是漏端的一個小區域,在預夾斷區左邊還有N溝道,這些自由電子仍可在溝道中漂移,在到達預夾斷區時,就受夾斷區強電場的吸引,滑入漏區。所以,在漏端預夾斷后,漏一源之間仍有漏極電流ID。
為什么MOS管飽和區溝道夾斷了還有電流?
MOS管就像開關。柵極(G)決定源極(S)到漏極(D)是通還是不通。以NMOS為例,圖1中綠色代表(N型)富電子區域,黃色代表(P型)富空穴區域。P型和N型交界處會有一層耗盡層分隔(也叫空間電荷區,如圖中白色分界所示)。VT是開關的閾值,超過閾值就開,低于閾值就開不了。柵電壓越大,下面感應出來的電子越多,形成的溝道越寬。柵與溝道之間有氧化層隔離。在源漏沒有電壓時溝道寬窄是一樣的,這很好理解。

圖1. 柵壓產生溝道決定MOS管源漏之間通不通
當漏極電壓升高,柵極靠近漏極的相對電壓就小,因此溝道受其影響寬窄不同。由于電流是連續的,所以窄的地方電流密度大,這也好理解,如圖2所示。這是源漏電流IDS是隨其電壓VDS增大而線性增大的“線性區”。

圖2.溝道寬窄受兩端電壓影響(線性區)
要注意的是,這時柵極電壓絕對值并沒有降低,靠近漏極溝道變窄的原因,是柵極的影響力部分被漏極抵消了。一部分本來可以柵吸引形成溝道的電子,就被漏極正電壓拉過去了。
當漏極電壓繼續升高,如果超過柵電壓,造成溝道右邊不滿足開通條件而“夾斷”。之所以出現夾斷點,是因為在這個點,柵極對電子的吸引力被漏極取代。這時候MOS管進入“飽和區”,電流很難繼續隨電壓增大。
很多朋友理解不了既然這時候溝道夾斷了,不是應該截止了嗎?為什么還會繼續有電流?原因是雖然理論上溝道已經“夾斷”,但這個夾斷點很薄弱。為什么說它薄弱?因為夾斷點后面支撐它的不是原來P型區域,而是電壓升高更吸引電子的漏極及其空間電荷區。因此電子沖入空間電荷區,就相當于幾乎沒有阻擋的“準自由電子”快速被漏極收集。如圖3所示。

圖3.溝道“夾而不斷”(飽和區)
可以想象,隨著靠近漏極的溝道越來越細,很多高速的電子沖過來,一部分擠過夾斷點進入空間電荷區,然后被漏極正電場高速收集(形成示意圖中紫色電流)。漏極電壓越高,夾斷點越后退,造成電子越難穿越,因此飽和區電流不再隨電壓增大而線性增大,畢竟不是所有電子都能沖過夾斷點。源漏電流電壓曲線如圖4所示。

圖4. 電流電壓曲線
用水槍比喻就很好理解:在水管水流很急時,試圖用薄片擋住是很難的,水流會呲過阻擋形成噴射,噴口越細噴射越急,如圖5所示。因此“夾斷”這個詞容易引起誤解,實際應該是“夾而不斷”,電流只是被限制而非截止。

圖5. 薄片很難擋住水槍噴射
當然,如果漏極的電壓繼續上升,它的空間電荷區持續擴張達到源極,那么源極的電子就會不受溝道和柵壓的控制,直接經過空間電荷區高速到達漏極,這就是源漏直接穿通了,這時MOS管的開關功能也就作廢了。
mos管飽和區電流公式及其詳解
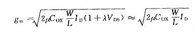
mos管飽和區電流公式,在強反型狀態下飽和區中的工作。小信號參數的值因MOS晶體管的工作區域而變化。假定MOS晶體管處于VGS比閾值電壓VT高得多的強反型狀態,而且工作在飽和區,求這種狀況下的小信號參數。
可將跨導gm表示如下:

在能夠疏忽溝道長度調制效應的狀況下,得到

這個跨導gm能夠用漏極電流ID表示為

也能夠用漏極電流ID和柵極-源極間電壓VGS表示為

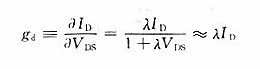
體跨導gmb能夠由下式求得:

由式(1.18)和式(1.20),能夠分別導出

所以得到

應用式(1.18),能夠將漏極電導表示為

應用這些小信號參數,能夠將小信號漏極電流id表示為下式:

烜芯微專業制造二極管,三極管,MOS管,橋堆等20年,工廠直銷省20%,1500家電路電器生產企業選用,專業的工程師幫您穩定好每一批產品,如果您有遇到什么需要幫助解決的,可以點擊右邊的工程師,或者點擊銷售經理給您精準的報價以及產品介紹

