我們使用的大多數設備都是AC設備。它們需要交流電源才能運行。我們沒有太多適用于直流電源的設備。但隨著電子技術的進步,DC正在變得越來越重要,因為這些器件為AC到DC轉換提供了有效的方法。早些時候,我們使用同步轉換器,但轉換過程非常有損且效率低下。但是現在使用諸如二極管的電子設備來將AC轉換為DC。我們需要為直流設備提供直流電源,如計算機,電池充電器等。所有這些都可以通過半導體技術的進步實現。
現在整流器是轉換為DC到AC的過程。這是轉換過程的第二階段。它將AC電壓波形轉換為整流電壓。
現在,我們還有其他類型的整改方法也可以使用。所以,我們可能會想到,如果有其他方法,我們為什么需要這種方法呢?這個問題的答案是它提供了某些優點,例如沒有中心抽頭變壓器需要,變壓器利用率高,所以與其他方法相比,它具有優勢,因此可以使用。
二極管橋式整流器原理
這里我們連接了四個二極管,如圖所示。使用變壓器是為了在輸出端將電壓降低到所需的電平,連接負載消耗功率圖: - 橋式整流器電路和波形(整流)。當變壓器次級的上端為正時,二極管D 1和D 3正向偏置,電流流過它們。類似地,電流通過D 1進入并離開D 3到另一個端子,在另一個半周期期間,D 2和D 4正向偏置,電流通過D 2進入并通過D 4離開到源極。
這里,電容器用作濾波器,濾除紋波頻率并提供具有較小紋波頻率的DC電壓。為了在輸出端獲得穩定的直流電壓,我們必須在濾波操作后使用電壓調節器。

二極管橋式整流器的數學分析
通過負載的峰值電流,如果二極管具有正向?電阻?F然后

在這里,我們獲得兩倍的前向阻力。假設所有二極管具有相同的正向電阻,則兩個二極管用于半個周期,兩個正向電阻將出現在表達式中。
輸出電流

其中,
I dc是流過負載的電流的DC值,Im是AC電流的峰值。
直流輸出電壓

其中,
V dc是輸出直流電壓,I dc是流過電路的直流電流,R是連接在電路中的負載電阻。
RMS輸出電流

RMS輸出電壓

形狀因子和波峰因數
形狀因子,

其中,V avg是平均值或直流電壓。
輸出頻率

其中,f out是輸出頻率,f in是輸入或供電頻率。
整改效率

紋波系數
二極管橋式整流器紋波系數


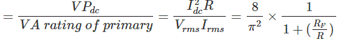
TUF或變壓器利用率

1.雙整流效率則為半波整流器。
2.低紋波電壓和更高頻率,因此需要簡單的濾波電路。
3.更高的TUF然后是中心抽頭整流器。
4.無需中心抽頭變壓器。
5.PIV或峰值反向電壓是中心抽頭的一半。
二極管橋式整流器的缺點
因此需要四個二極管,整流器的成本將更高。
烜芯微專業制造二極管,三極管,MOS管,橋堆等20年,工廠直銷省20%,1500家電路電器生產企業選用,專業的工程師幫您穩定好每一批產品,如果您有遇到什么需要幫助解決的,可以點擊右邊的工程師,或者點擊銷售經理給您精準的報價以及產品介紹
烜芯微專業制造二極管,三極管,MOS管,橋堆等20年,工廠直銷省20%,1500家電路電器生產企業選用,專業的工程師幫您穩定好每一批產品,如果您有遇到什么需要幫助解決的,可以點擊右邊的工程師,或者點擊銷售經理給您精準的報價以及產品介紹

